• Предмет: Алгебра
  • Автор: onex859
  • Вопрос задан 8 лет назад

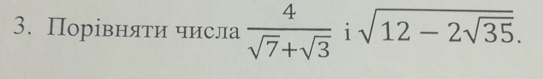
Помогите 100 балов по​

Приложения:

Ответы

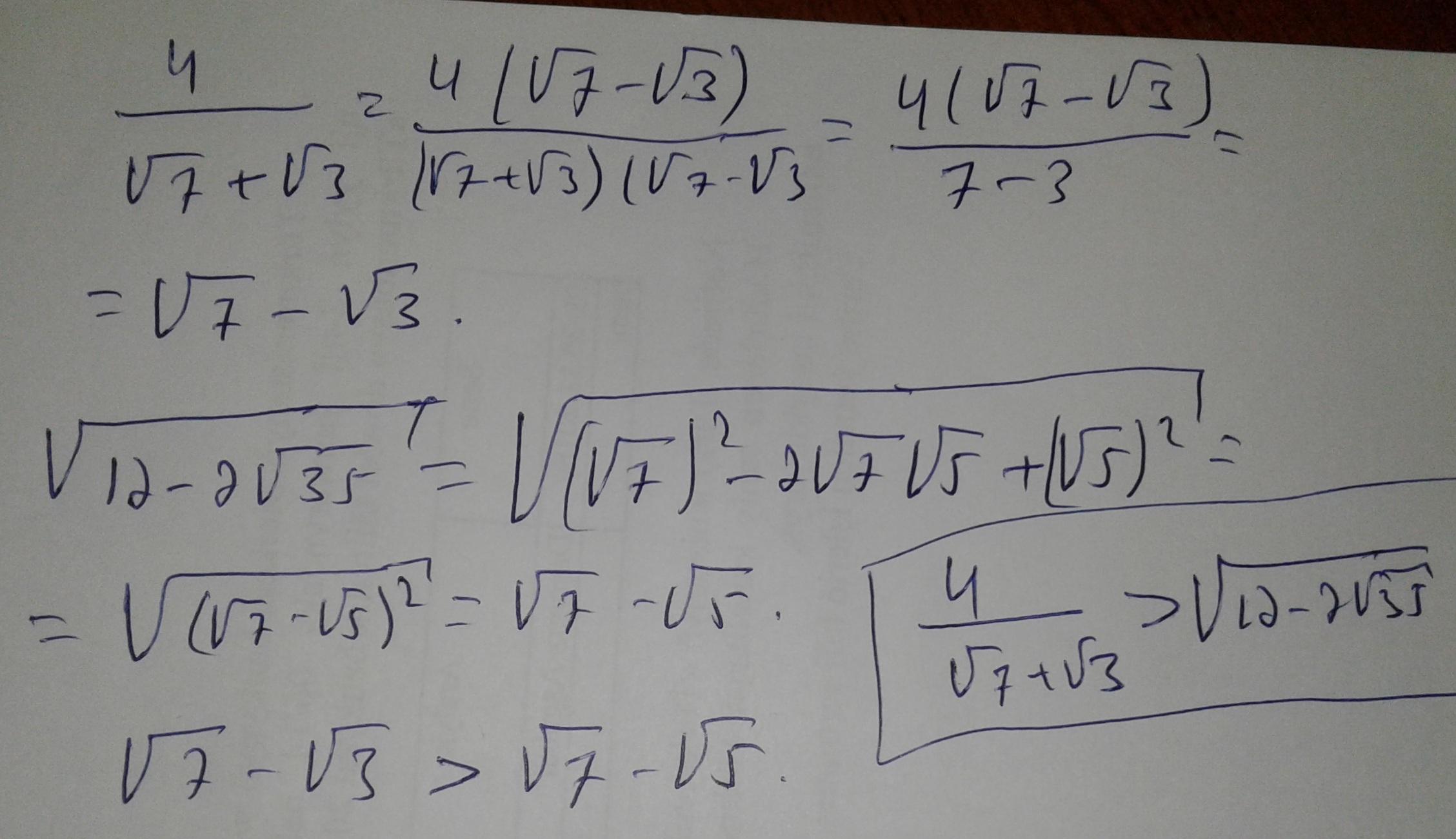
Ответ дал: Matematiktm
1

Ответ:

resheno

Объяснение:

Приложения:
Вас заинтересует