• Предмет: Математика
  • Автор: ahmadbadagulov
  • Вопрос задан 8 лет назад

помогите пожалуйста с объяснением даю 17 баллов​

Приложения:

Ответы

Ответ дал: LuciFear45
1

Ответ:

Прости за ожидание, долго писал объяснение.

1.

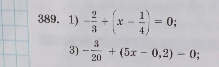
-\frac{2}{3} + (x - \frac{1}{4}) = 0

Нам нужно найти икс. Для этого раскроем скобки. Перед скобками стоит +, а не минус, и нет умножения/деления, поэтому раскрываем скобки без изменений.

-\frac{2}{3} + x - \frac{1}{4} = 0

Теперь нужно икс оставить слева, а все числа перевести вправо (можно и наоборот, но делают обычно так). При переносе знак чисел изменяется (если число положительное, то стаёт отрицательным. Если отрицательное, то стаёт положительным).

x = \frac{2}{3} +\frac{1}{4}

Теперь посчитаем дроби. Чтобы их сложить, нужно чтобы снизу было одинаковое число. Этим числом будет 12 - т. к. 12 - наименьшее общее кратное. Первую дробь умножаем на 4, вторую на 3.

x = \frac{8}{12} + \frac{3}{12}

x = \frac{11}{12} - вот и ответ.

3.

-\frac{3}{20} +(5x-0,2) = 0

Делаем всё так, как делали ранее. Перед скобками стоит только плюс, значит раскрываем без изменений.

-\frac{3}{20} +5x-0,2 = 0

5x - это 5*x. 5 мы никуда переносить сейчас не будем. Считаем, что 5 - это часть x. Переносим остальное.

5x=\frac{3}{20}+0,2

Чтобы сложить три двадцатых и 0,2 переведем 0,2 в дробь. 0,2 - это две десятых. Так и записываем

5x=\frac{3}{20}+\frac{2}{10}

Теперь, для сложения, сделаем нижние числа одинаковыми. Для этого вторую дробь умножаем на 2.

5x=\frac{3}{20}+\frac{4}{20}

получаем

5x = \frac{7}{20}

Теперь нужно убрать 5. Для этого нужно 7/20 поделить на 5.

x = \frac{7}{20} /5

Для этого переведем 5 в дробь. Получится 5/1. Умножаем на 20, ради одного числа снизу.

x = \frac{7}{20} /\frac{100}{20}

Чтобы провести деление, нужно перевернуть одну из дробей (я выберу вторую) и заменить деление на умножение

x = \frac{7}{20} *\frac{20}{100}

Теперь верхнее число умножаем на верхнее, нижнее на нижнее.

x = \frac{140}{2000}

сокращаем дробь. Можно сократить на 2 (числа чётные) и на 10 (есть одинаковый лишний ноль). 2 на 10 - получаем 20. Сократим дробь на 20.

x = \frac{7}{100}

Сверху выходит 7, снизу 100. Больше дробь не сокращается.

Если есть вопросы - пиши


ahmadbadagulov: спасибо большое
LuciFear45: Пожалуйста :>
Вас заинтересует