• Предмет: Математика
  • Автор: Horyandr
  • Вопрос задан 8 лет назад

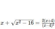
Решите в действительных числах уравнение. Если корней несколько, запишите наибольший из них. Ответ округлите до двух знаков после запятой. При вводе числа целую часть от дробной отделить запятой.

Приложения:

studymylife09: Пожалуйста помогите ребяят
studymylife09: Давай друг друга найдем в вк ?
Horyandr: для чего?
studymylife09: нам же еще там не день вариться

Ответы

Ответ дал: studymylife09
7

Ответ:

5,44

Пошаговое объяснение:

Вас заинтересует