• Предмет: Алгебра
  • Автор: HEIIZENBERG
  • Вопрос задан 8 лет назад

Срочно
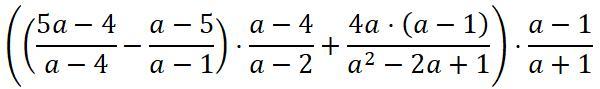
Упростите выражение:

Приложения:

Ответы

Ответ дал: Аноним
1

Ответ: 8

Надеюсь, что на фото всё понятно

Приложения:

HEIIZENBERG: Чел. Спасибо тебе огромное. Респект тебе. Надеюсь все правильно.
Аноним: 100% правильно
Вас заинтересует