• Предмет: Алгебра
  • Автор: annadeket39
  • Вопрос задан 8 лет назад

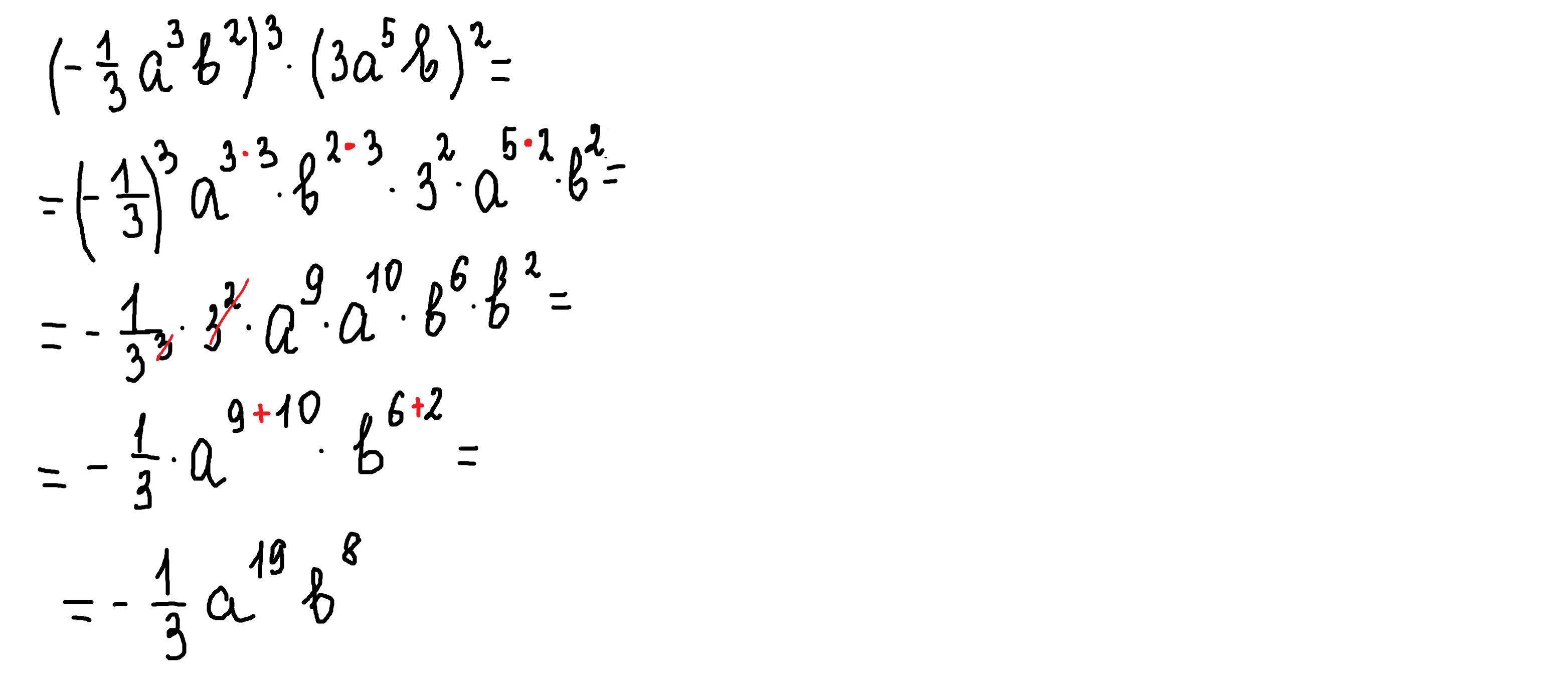
Спростіть вираз (-1/3 a³b²)³×(3a⁵b)² ​

Ответы

Ответ дал: parus77
1

Ответ:

-1\3 а¹⁹в⁸

Объяснение:

решение внизу

Приложения:
Вас заинтересует