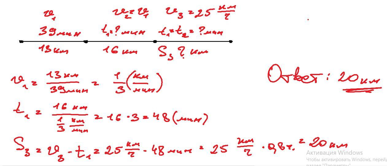
Первый участок пути равный 13 км велосипедист проехал за 39 минут. Второй участок пути равный 16000 м проехал с такой же скоростью, что и первый участок. Чему равна длина третьего участка, если велосипедист преодолел его за тоже время, что и второй участок, двигаясь при этом со скоростью 25 км/ч?
rhdhdhdjswbjdbfe:
Здравствуйте. Сколько вам лет?
Меньше чем в профиле, просто слишком много заданий не только по физике и срочно нужен ответ даже если эта задача очень легкая
Ответы
Ответ дал:
1
Ответ:
фото
Объяснение:
Приложения:
Вас заинтересует
2 года назад
3 года назад
3 года назад
9 лет назад
9 лет назад
10 лет назад
10 лет назад