• Предмет: Алгебра
  • Автор: galinahalas95
  • Вопрос задан 8 лет назад

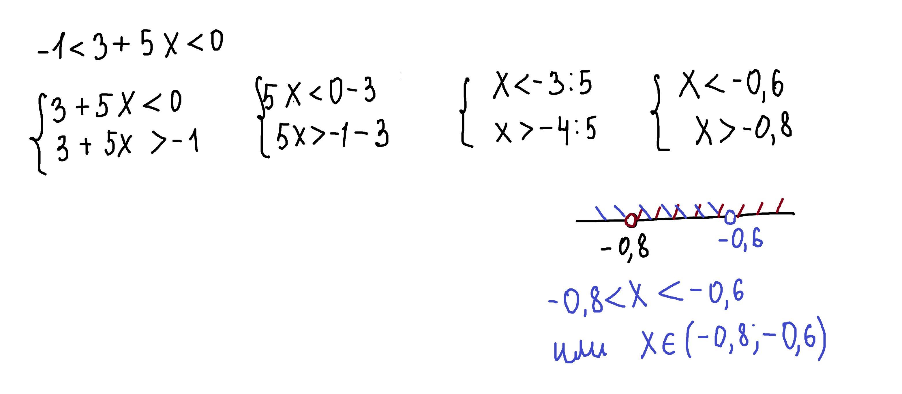
роза'яжіть подвійну нерівностей
-1<3+5х<0​

Ответы

Ответ дал: parus77
0

Ответ:

-0,8 < X < -0,6  или так    X ∈ (-0,8;-0,6)

Объяснение:

Приложения:
Вас заинтересует