Ответы
Ответ дал:
0
Ответ:
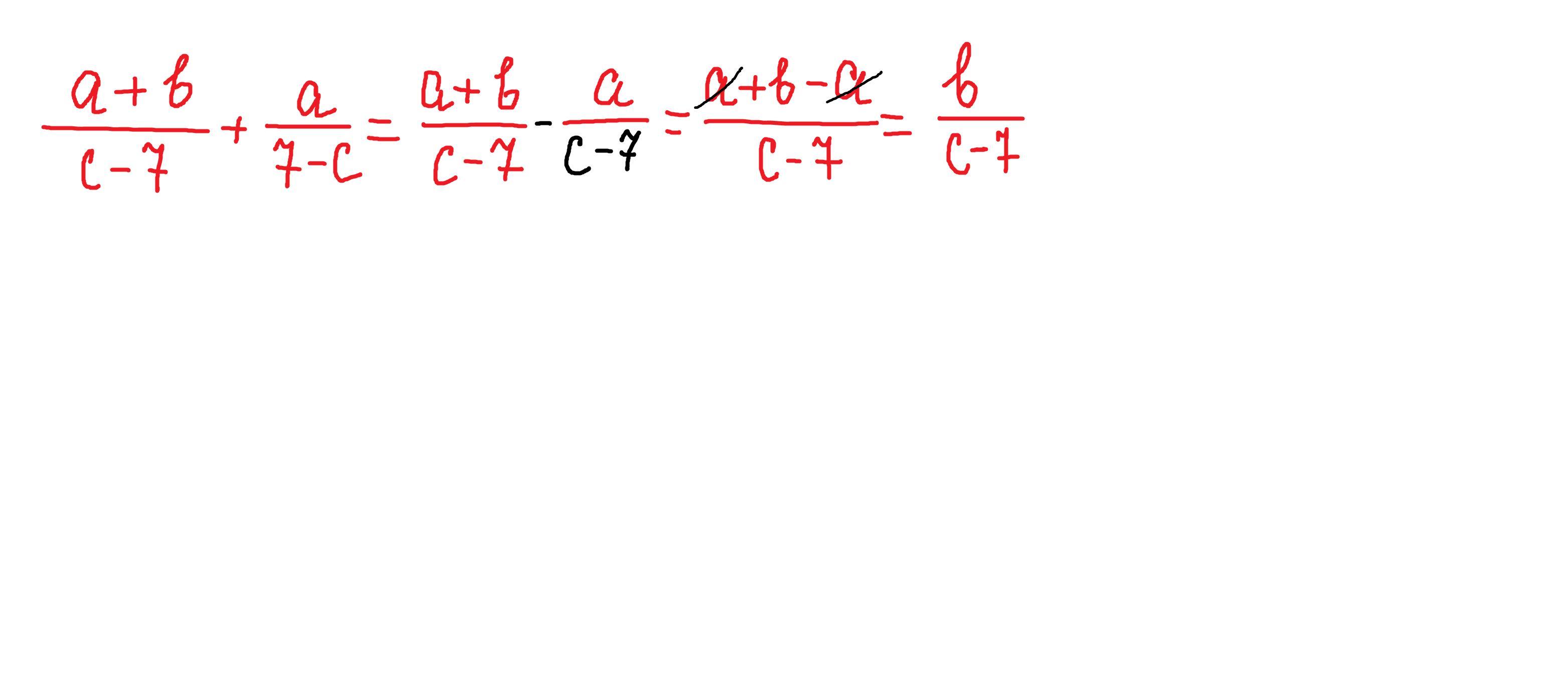
b : c-7
Объяснение:
Ответ дал:
0
Ответ:
Объяснение:
во втором знаменателе вынесли знак "минус" за скобку,поэтому изменили знак "+" на минус ,а знаменатели стали одинаковые.
Приложения:

Вас заинтересует
2 года назад
3 года назад
8 лет назад