• Предмет: Алгебра
  • Автор: vikatrifonova0725
  • Вопрос задан 7 лет назад

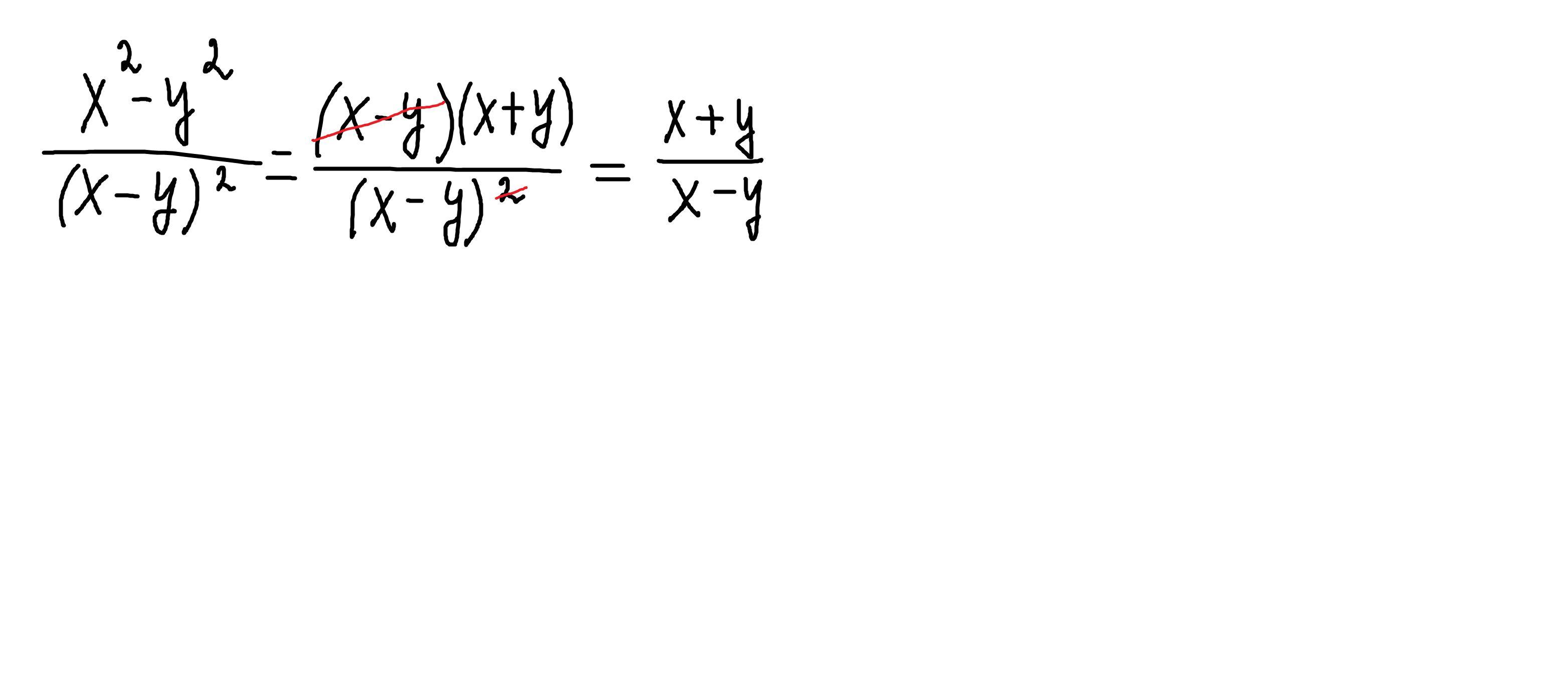
упростите выражение

Приложения:

art01042007: (x+y)(x-y)
art01042007: x2-2xy-y2

Ответы

Ответ дал: parus77
0

Ответ:

Объяснение:

решение внизу

Приложения:
Вас заинтересует