• Предмет: Алгебра
  • Автор: atlasovanime777
  • Вопрос задан 8 лет назад

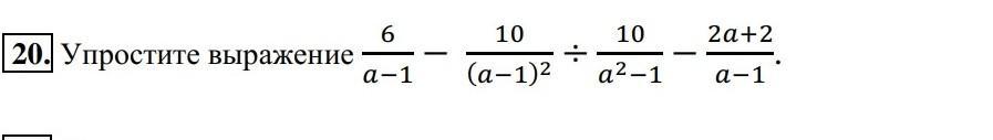
упрастите выражение ....​

Приложения:

Ответы

Ответ дал: 165ABr
1

Ответ:

=\frac{6}{a-1} -\frac{10}{(a-1)^{2} } *\frac{a^{2} -1}{10} -\frac{2a+2}{a-1} =\frac{6}{a-1} -\frac{1}{(a-1)^{2} } *(a-1)(a+1)-\frac{2a+2}{a-1} =\frac{6}{a-1} -\frac{1}{a-1} *(a+1)-\frac{2a+2}{a-1} =\frac{6}{a-1} -\frac{a+1}{a-1} -\frac{2a+2}{a-1} =\frac{6-(a+1)-(2a+2)}{a-1} =\frac{6-a-1-2a-2}{a-1} =\frac{3-3a}{a-1} =\frac{-3(a-1)}{a-1} =-3

Вас заинтересует