• Предмет: Алгебра
  • Автор: aylinshakirova2008
  • Вопрос задан 8 лет назад

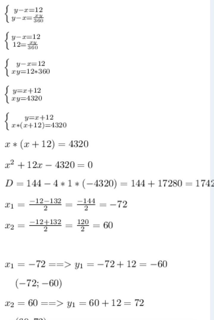
ришите систему уравнений у-x=12 y-x=xy_360​

Ответы

Ответ дал: ksvec
1

ответ: (-72; -60); (60; 72)

Приложения:
Вас заинтересует