Ответы
Ответ дал:
0
Ответ:
resheno
Пошаговое объяснение:
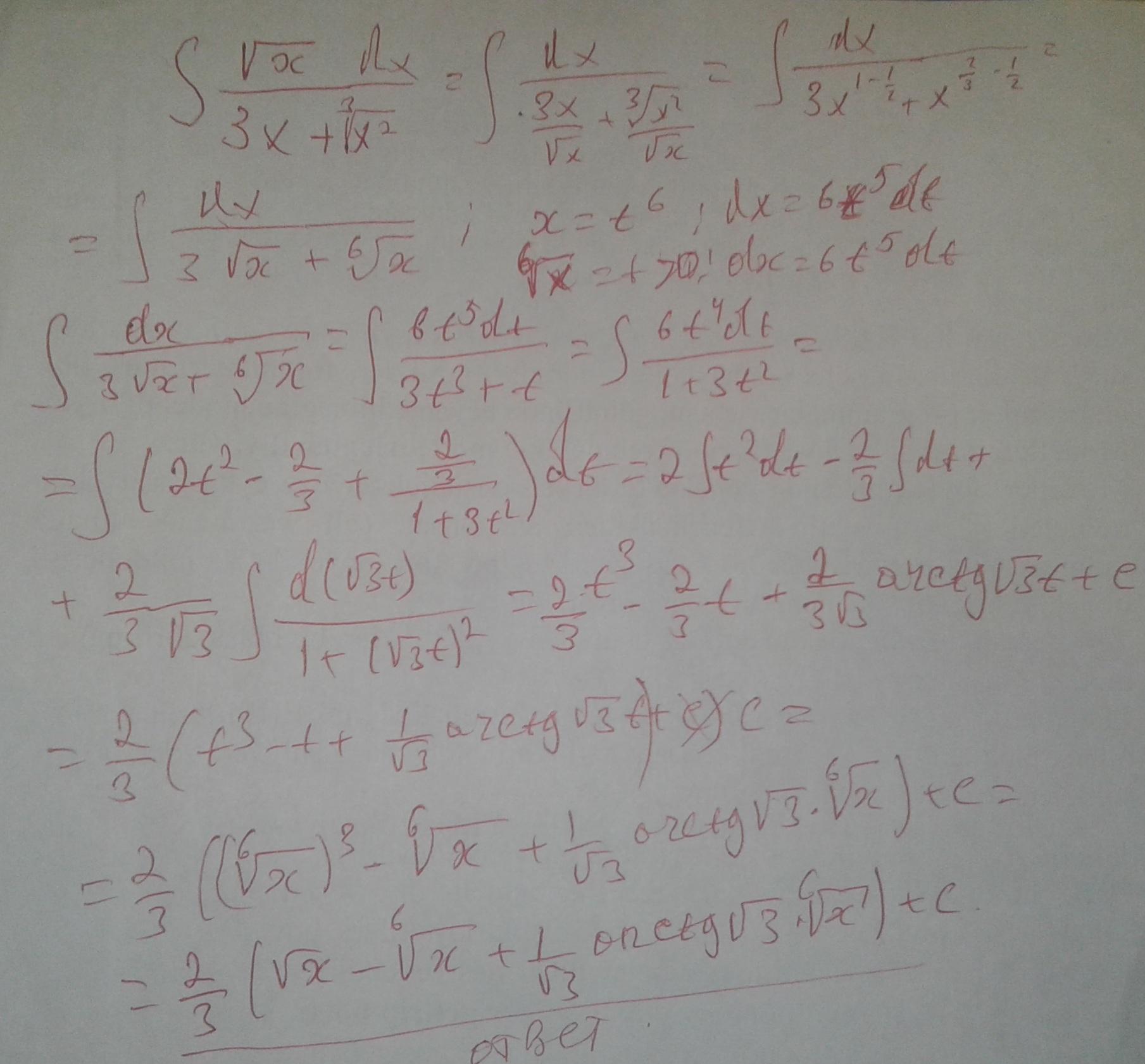
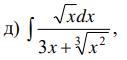
Приложения:

Ryni150:
Уточните, пожалуйста во второй строке решения правильно ли я понимаю, что указано в замене "6 над коренем х = t >0", верно?
Вас заинтересует
2 года назад
2 года назад
3 года назад
3 года назад
8 лет назад
8 лет назад
9 лет назад