• Предмет: Алгебра
  • Автор: sevinchkurbanova
  • Вопрос задан 8 лет назад

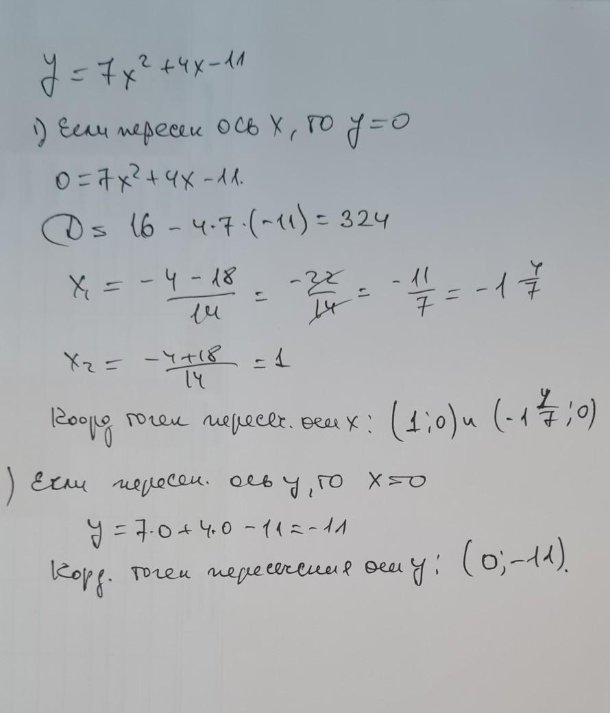
найдите координаты точек пересечения параболы с осями координат:y=7x^2+4x-11​

Ответы

Ответ дал: huseynovt1973
4

координаты точкт пересечения оси х:

(1;0) и(-11/7;0).

координаты точки пересечения оси х:

(0;-11).

Приложения:
Вас заинтересует