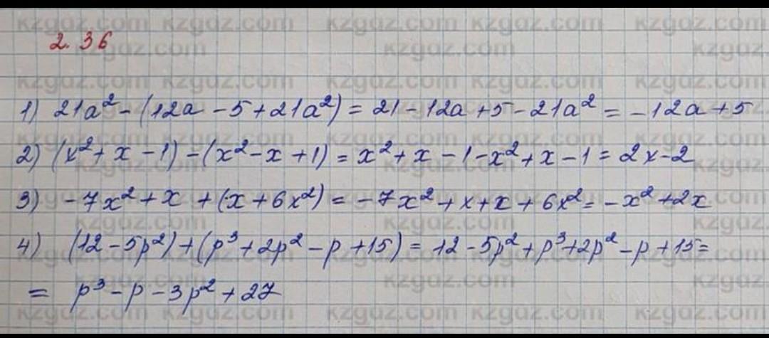
2.36. Преобразуйте в многочлен стандартного вида 1) 21a ^ 3 - (12a - 5 + 21a ^ 3) 3) -7x^ 2 +x+(x+6x^ 2 ); 2) (x^ 2 +x-1)-(x^ 2 -x+1); 4) (12-5p^ 2 )+(p^ 2 +2p^ 3 -p+15
Ответы
Ответ дал:
8
Ответ:
вот надеюсь чуть не опоздала )..
Приложения:

zadaisa620:
ставлю пять
Вас заинтересует
2 года назад
2 года назад
3 года назад
3 года назад
8 лет назад
9 лет назад