• Предмет: Алгебра
  • Автор: gansterhiga369
  • Вопрос задан 8 лет назад

9-x=корень из 9-5x*корень ищ3-x

Ответы

Ответ дал: tyrin
0

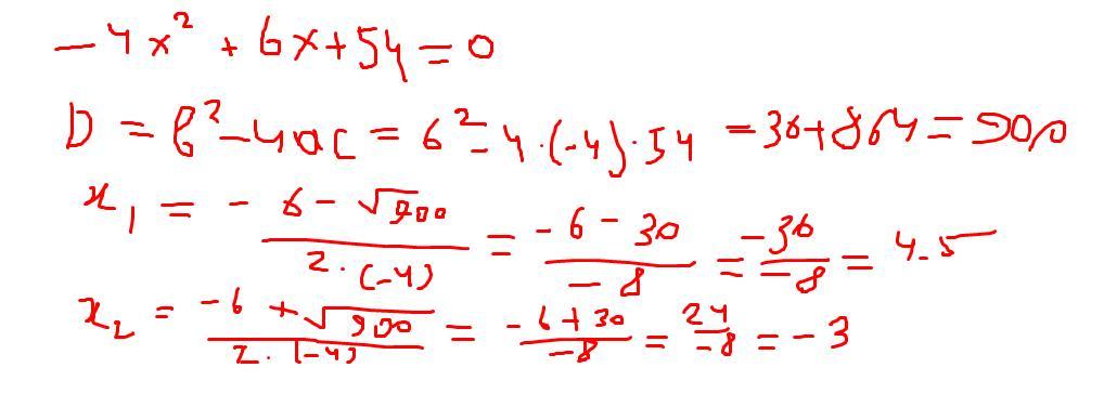
Ответ: x1 = 4.5

x2 = -3

Объяснение: на фото

Приложения:

tyrin: опечатка, ответ надо убрать
tyrin: все исправил
Аноним: мне можете помочь
Вас заинтересует