• Предмет: Математика
  • Автор: Ильдар01017
  • Вопрос задан 8 лет назад

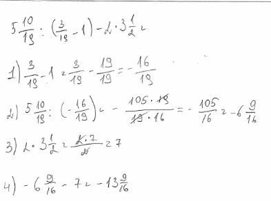
Нахождение значения числового выражения (обыкновенные дроби)

Приложения:

Ответы

Ответ дал: 8286505
1

Ответ:

ответ во вложении

Пошаговое объяснение:

Приложения:
Вас заинтересует