• Предмет: Математика
  • Автор: sekainaga
  • Вопрос задан 8 лет назад

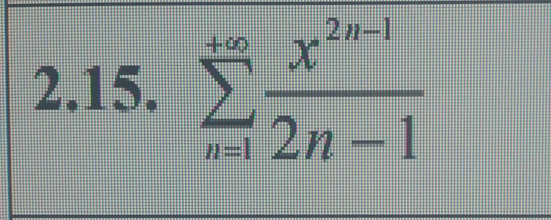
Помогите решить интервал сходимости ряда и исследовать сходимость ряда на концах интервала сходимости

Приложения:

Ответы

Ответ дал: asmolovsergey191202
0

Ответ:

Пошаговое объяснение:

Приложения:
Вас заинтересует