Помогите решить это через кампилятор с++. ​

Приложения:

Ответы

Ответ дал: restIess
1

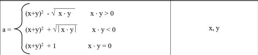
#include <iostream>

#include <cmath>

signed main() {

setlocale(LC_ALL, "Rus");

double x, y, a;

std::cout << "Введите x и y: ";

std::cin >> x >> y;

if (x * y > 0)

 a = pow(x * y, 2) - sqrt(x * y);

else if (x * y < 0)

 a = pow(x * y, 2) + sqrt(abs(x * y));

else if (x * y == 0)

 a = pow(x + y, 2) + 1;

std::cout << a;

return 0;

}


SenpaiFantik: спасибо
SenpaiFantik: если не сложно, можешь мне в дискорде обяснить как решать?
restIess: Всмысле как решать? Что именно решать?
SenpaiFantik: как ты записал это в кампилятор
restIess: Сейчас я занят
SenpaiFantik: будет сегодня свободный час?
restIess: Сегодня вряд-ли, просто почитай тему про условия и математические выражения в С++
SenpaiFantik: хорошо
SenpaiFantik: поможешь решить ещё 1 задачу в профиле?
restIess: Там на украинском, я его не знаю
Вас заинтересует