• Предмет: Алгебра
  • Автор: Аноним
  • Вопрос задан 8 лет назад

Помогите, пожалуйста, срочно!
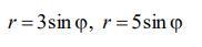
Вычислить площадь фигуры, ограниченной линиями.

Приложения:

Ответы

Ответ дал: NNNLLL54
1

Ответ:

r_1=3sin\varphi \ \ ,\ \ r_2=5sin\varphi \\\\S=\dfrac{1}{2}\int\limits^{\varphi _2}_{\varphi _1} \, r^2(\varphi )\, d\varphi \\\\\\\displaystyle S=S_2-S_1=\frac{1}{2}\int\limits^{\pi }_0\, (25sin^2\varphi -9sin^2\varphi )\, d\varphi =\frac{1}{2}\int\limits^{\pi }_0\, 16sin^2\varphi \, d\varphi =8\int\limits^{\pi }_0\, \frac{1-cos2\varphi }{2}\,d\varphi =\\\\\\=4\Big(\varphi -\frac{1}{2}\, sin2\varphi \Big)\Big|_0^{\pi }=4\pi

Приложения:
Вас заинтересует