• Предмет: Алгебра
  • Автор: kuch88
  • Вопрос задан 8 лет назад

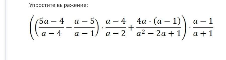
Упростите выражение:



 

Приложения:

Ответы

Ответ дал: Аноним
1

Ответ:

8

Объяснение:

(((5a-4)/(a-4) -(a-5)/(a-1))·(a-4)/(a-2) +(4a(a-1))/(a²-2a+1))(a-1)/(a+1)=8

1. (5a-4)/(a-4) -(a-5)/(a-1)=((5a-4)(a-1)-(a-5)(a-4))/((a-4)(a-1))=(5a²-5a-4a+4-a²+4a+5a-20)/((a-4)(a-1))=(4a²-16)/((a-4)(a-1))=(4(a-2)(a+2))/((a-4)(a-1))

2. (4(a-2)(a+2))/((a-4)(a-1)) ·(a-4)/(a-2)=(4(a+2))/(a-1)

3. (4(a+2))/(a-1) +(4a(a-1))/(a²-2a+1)=(4(a+2))/(a-1) +(4a(a-1))/(a-1)²=(4(a+2)(a-1)+4a(a-1))/(a-1)²-((a-1)(4a+8+4a))/(a-1)²=(8(a+1))/(a-1)

4. (8(a+1))/(a-1) ·(a-1)/(a+1)=8

Вас заинтересует