• Предмет: Алгебра
  • Автор: medinadvumar
  • Вопрос задан 8 лет назад

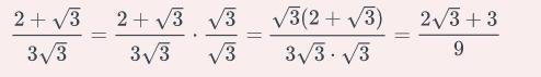
Преобразования выражений, содержащие квадратные корни. Урок 5 Освободи от иррациональности знаменатель дроби: + 2 + 3 2 33 Помогите пожалуйста ​

Приложения:

Ответы

Ответ дал: Matematiktm
2

Ответ:

Объяснение:

Решено

Приложения:
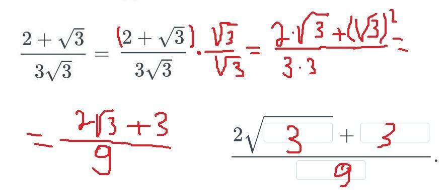
Ответ дал: Belei18kot
1

Ответ:

вот

Объяснение:

Приложения:
Вас заинтересует