• Предмет: Алгебра
  • Автор: vasilevz2008
  • Вопрос задан 8 лет назад

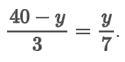
найдите корень уравнения

Приложения:

Ответы

Ответ дал: antonb15
1

Ответ:7*(40-3)-3y=0

280-7y-3y=0

280-10y=0

280=10y

10y=280/10

y=28

Объяснение:

Вас заинтересует