• Предмет: Алгебра
  • Автор: 27361682
  • Вопрос задан 7 лет назад

помогите срочно очень

Приложения:

Ответы

Ответ дал: Аноним
0

Объяснение:

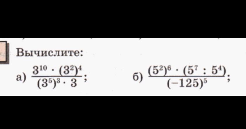
а)

 \frac{ {3}^{10} \times (3 {}^{2} ) {}^{4}  }{(3 {}^{5} ) {}^{3} \times 3 }   =  \frac{3 {}^{10} \times 3 {}^{8}  }{3 {}^{15} \times 3 }  =  \frac{3 {}^{18} }{3 {}^{16} }  = 3 {}^{2}  = 9

б)

 \frac{(5 {}^{2} ) {}^{6}  \times (5 {}^{7}  \div 5 {}^{4} )}{( - 125) {}^{5} }  =  \frac{5 {}^{12}  \times 5 {}^{3} }{ - 125 {}^{5} }  =  \frac{5 {}^{15} }{ - 125 {}^{5} }  =  -  \frac{5 {}^{15} }{125 {}^{5}} =  -  \frac{5 {}^{5} }{5 {}^{15} }  =  - 1

Ответ дал: Svaipone
0

Ответ:

а)9 б)-1

Объяснение:

а) (3 в 2 степени)в 4 степени = 3 в 8 степени (показатели перемножаются)

(3 в 5 степени)в 3 степени = 3 в 15 степени (показатели перемножаются)

и того получается (3в10 степени  * 3в8 степени)/(3в15 степени * 3)

тройки сокращаются и того получается 3в2 степени , то есть 9

б) (5в2)в6 = 5в12

5в7 : 5в4 = 5в3 (при делении степени вычитаются)

а (-125) в 5 это (-5в3)в5 = (-5)в15

и того получается (5в12 * 5в3)/ ((-5)в15) минус извлекаем  получается

(5в12 * 5в3)/ (-1 * (5)в15) сокращаем и получается 5в3/-1*5в3 = -1

Вас заинтересует