Ответы
Ответ дал:
1
Ответ:
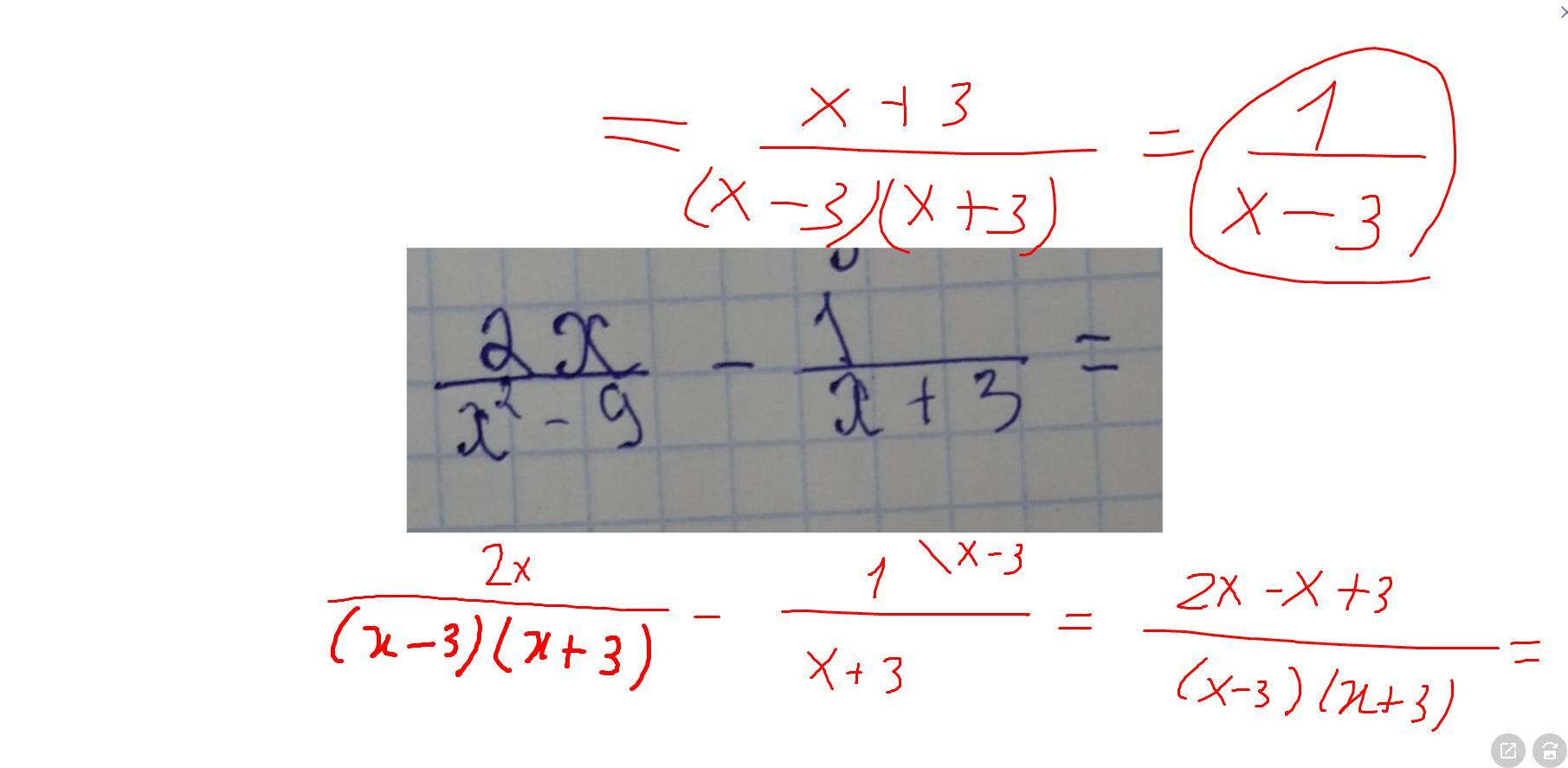
на фото
Объяснение:
на фото
Приложения:

yukiratliff:
спасибо
Ответ дал:
1
Объяснение:
Вас заинтересует
2 года назад
2 года назад
3 года назад
3 года назад
9 лет назад