Ответы
Ответ дал:
1
Ответ:
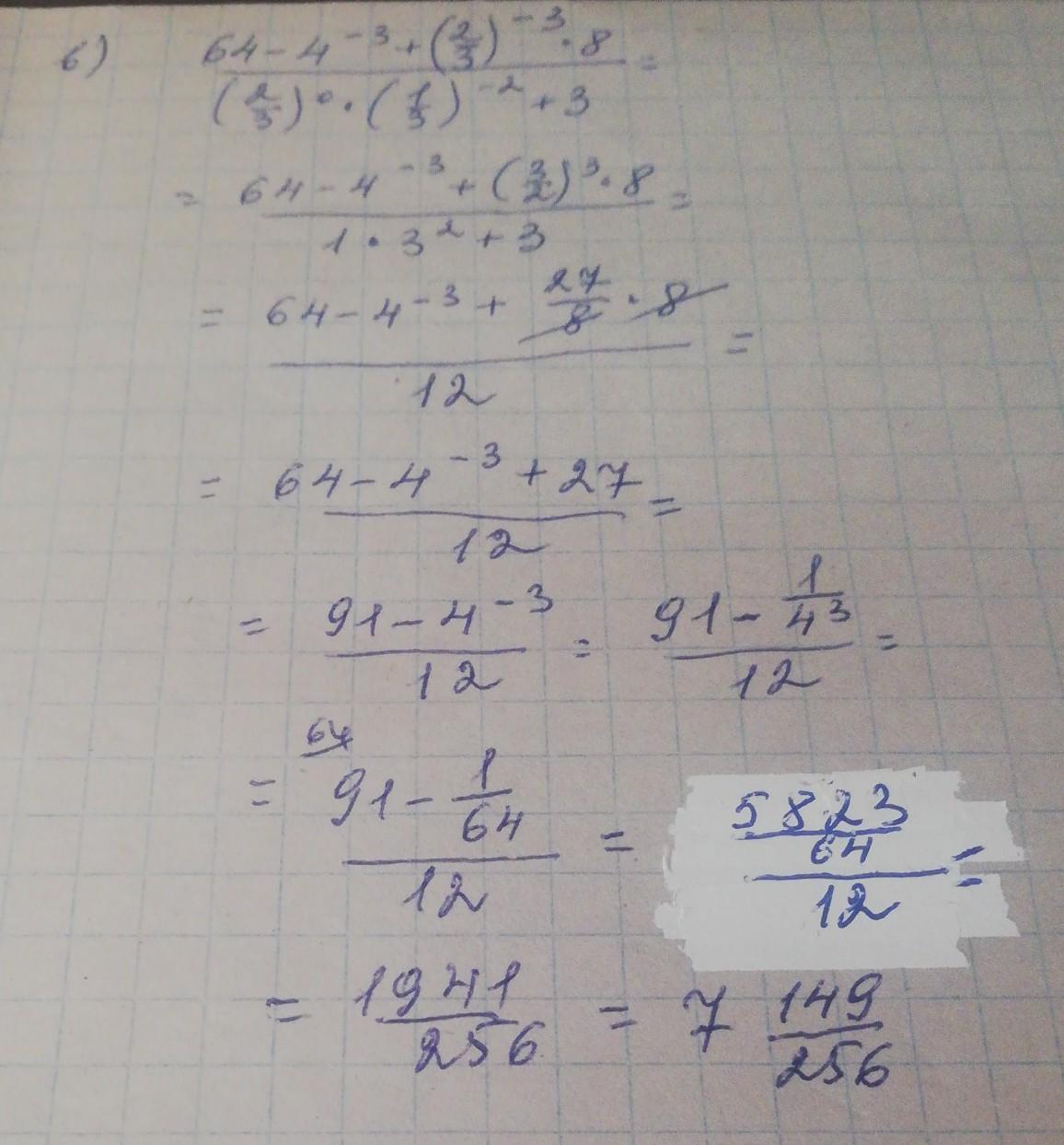
Смотри решение на фото ниже
Приложения:


0811dasha200:
спасибо
Вас заинтересует
2 года назад
3 года назад
3 года назад
9 лет назад
9 лет назад