Ответы
Ответ дал:
1
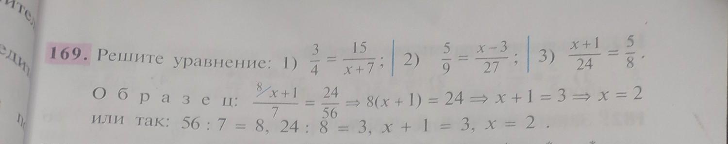
1) 3(х+7)=60
х+7=20
х=20-7
х=13
2) 135=9(х-3)
15=х-3
-х=-15-3
х=18
3) 8(х+1)=120
х+1=15
х=14
х+7=20
х=20-7
х=13
2) 135=9(х-3)
15=х-3
-х=-15-3
х=18
3) 8(х+1)=120
х+1=15
х=14
Вас заинтересует
2 года назад
2 года назад
3 года назад
9 лет назад
10 лет назад