• Предмет: Алгебра
  • Автор: hjkkllm
  • Вопрос задан 8 лет назад

Вычисление производных. Правила дифференцирования

Приложения:

Ответы

Ответ дал: mrgolubmem
0

Відповідь:

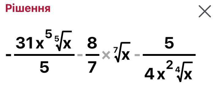
Нужно оформить ответ по форме в изображение

та что: -31x^{5} * \frac{\sqrt[5]{x}}{5}\ - \frac{8}{7} \ * \sqrt[7]{x}\ - 5 \ * \frac{1}{4\sqrt[4]{x}}

Приложения:
Вас заинтересует