• Предмет: Математика
  • Автор: brokxancer
  • Вопрос задан 8 лет назад

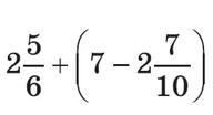
ПОМОГИТЕ СРОЧНО ЭТО ДРОБИ

Приложения:

eugenyatrifonowa: приведи к общему знаменателю
eugenyatrifonowa: потом решай

Ответы

Ответ дал: thekennet
1

Ответ: 7 2/15

Пошаговое объяснение:

Ответ дал: jekadva
0

Ответ:

Пошаговое объяснение:

= 2 5/6 + 4 3/10 = 2 25/30 + 4 9/30 = 6 34/30 = 7 4/30 = 7 2/15

Вас заинтересует