• Предмет: Математика
  • Автор: Master012
  • Вопрос задан 10 лет назад

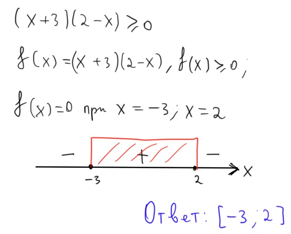
Найдите длину промежутка , на котором функция у=(х+3)(2-х) принимает положительные значения ( с полным решением)

Ответы

Ответ дал: nikolac
0
Решение на картинке.
Приложения:
Ответ дал: Master012
0
Безумно благодарен:)
Вас заинтересует