• Предмет: Алгебра
  • Автор: ipelmeshek228
  • Вопрос задан 8 лет назад

[100 БАЛЛОВ] Решить рациональное неравенство 10 класс
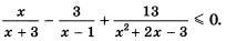
x/x+3 - 3/x-1 + 13/x^2+2x-3 <=0

Приложения:

Ответы

Ответ дал: table123
1

Ответ: (-3; 1) ;  {2}

Объяснение:

ax^2+bx+c=a(x-x1)(x-x2),   x^2+2x-3=(x-1)(x+3)    где  x=1  u  x=-3 корни

x/(x+3)  - 3/(x-1)  +  13/(x-1)(x+3)  <=0,  (x^2-x-3x-9+13)/(x-1)(x+3)<=0

(x^2-4x+4)/(x-1)(x+3)  <=0,  (x-2)^2 /(x-1)(x+3)  <=0

 + + + + +  + (-3) - - - - - - -(1) + + + + + + +[2] + + + + + +

ответ:  (-3;  1)  u  2

Вас заинтересует