• Предмет: Алгебра
  • Автор: lkiuhgt55
  • Вопрос задан 8 лет назад

ТРЕБУЮ ПОЛНОЕ решение.
спам/только ответ=мгновенный бан ​

Приложения:

Simba2017: вам никто ничего не должен-чтобы вы требовали!
Rorka3d: нагло слишком не?
Simba2017: получит то, что заслуживает.......

Ответы

Ответ дал: rrunoskee
0

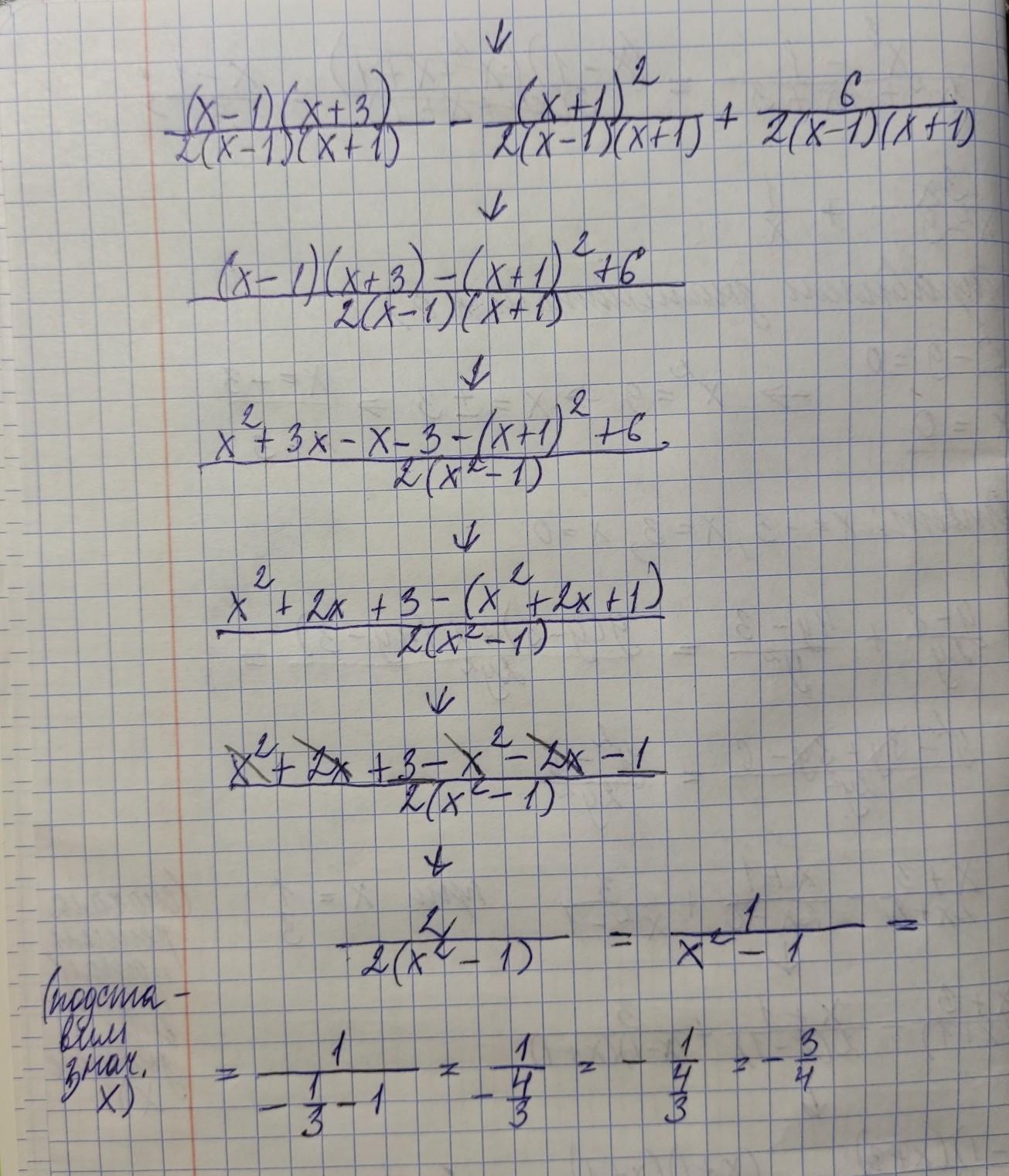
Ответ:

Вот.

Если есть вопросы по решению, смелее.

Приложения:
Вас заинтересует