• Предмет: Алгебра
  • Автор: lcidudy
  • Вопрос задан 8 лет назад

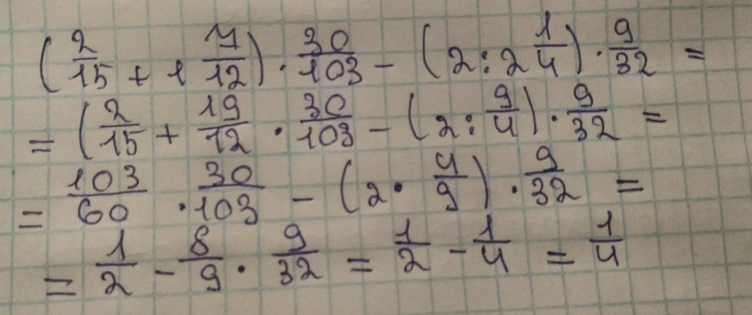
регить пример по действиям СРОЧНО ​

Приложения:

Ответы

Ответ дал: vladislav4812
1

Ответ: 1/4

...................

Приложения:
Вас заинтересует