Ответы
Ответ дал:
1
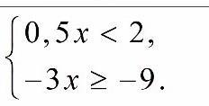
вот держи,,,,,,,,,,,,, .....
Приложения:

Вас заинтересует
3 года назад
8 лет назад
8 лет назад
9 лет назад