• Предмет: Алгебра
  • Автор: nefexnumb777
  • Вопрос задан 8 лет назад

вычислите и напишите решение на тетрадь ​

Приложения:

Ответы

Ответ дал: Аноним
2

Ответ:

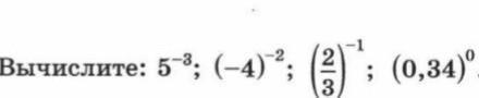
5 {}^{ - 3}  =  \frac{1}{5 {}^{3} }  =  \frac{1}{125}

Объяснение:

( - 4) {}^{ - 2}  = 4 {}^{ - 2}  =  \frac{1}{4 {}^{2} }  =  \frac{1}{16}

( \frac{2}{3} ) {}^{ - 1}  =  \frac{3}{2}  = 1 \frac{1}{2}  = 1.5

(0.34) {}^{0}  = 1

Вас заинтересует