• Предмет: Алгебра
  • Автор: user05li
  • Вопрос задан 8 лет назад

ПОЖАЛУЙСТА...... 1 задание ​

Приложения:

Ответы

Ответ дал: Yulya252
0

Ответ:

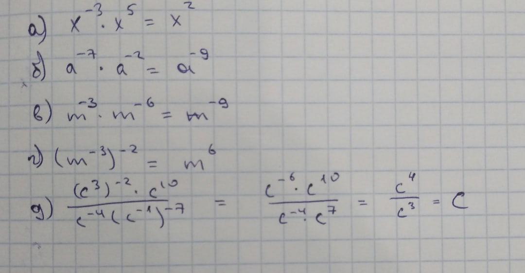
при умножении степени складываются, а когда степени за скобками, то перемножаются. Если же степень делить на степень, то необходимо вычитать

Приложения:
Вас заинтересует