• Предмет: Алгебра
  • Автор: nematovaamina0
  • Вопрос задан 8 лет назад

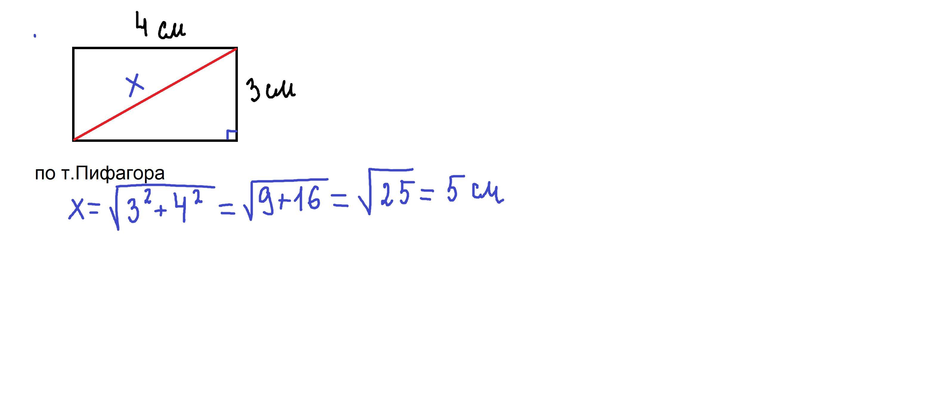
стороны прямоугольника равны 3 см и 4 см найдите диогональ
пожалуйста с чертежем​

Ответы

Ответ дал: parus77
1

Ответ:

диагональ прямоугольника равна 5 см

Объяснение:

диагональ делит прямоугольник на два прямоугольных треугольника,в котором катеты равны 3см и 4 см,По т.Пифагора можем найти Х.

Приложения:
Вас заинтересует