• Предмет: Физика
  • Автор: Ejejrhehdhdh
  • Вопрос задан 7 лет назад

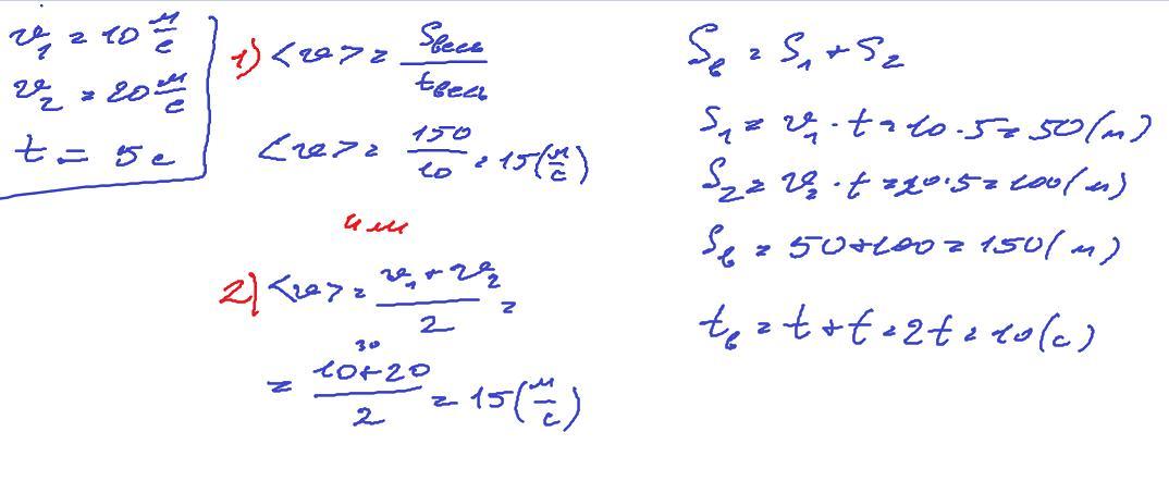
докажите что если время движения со скоростью v1 равно времени движения со скоростью v2 то средняя скорость равна среднему арифменическому

Ответы

Ответ дал: skala
1

Ответ:

фото

Объяснение:

Приложения:
Вас заинтересует