• Предмет: Математика
  • Автор: Parus6
  • Вопрос задан 8 лет назад

Помогите с решением подробно пожалуйста..
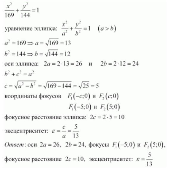
Найти координаты вершин, фокусов,
длины осей и эксцентриситет эллипса
x^2/25 + y^2/9 = 1

Ответы

Ответ дал: lerakrutikova2008
3

Ответ:

точно ли этот ответ ,не знаю, нашла так же сама

Приложения:
Вас заинтересует