• Предмет: Алгебра
  • Автор: Аноним
  • Вопрос задан 8 лет назад

-0, 4h+5=-2 Чему равен h? Помогите плиииз​

Ответы

Ответ дал: alalalalaooak
1

Ответ:

-0,4h + 5 = - 2

- 0,4h = - 5 - 2

-0,4h = - 7 | : (-0,4) - делаем так, чтобы убрать минус

h=17,5

Ответ дал: Зая814
1

Ответ:

h=17,5

Объяснение:

-0,4h+5=-2

-0,4h=-2-5

-0,4h=-7

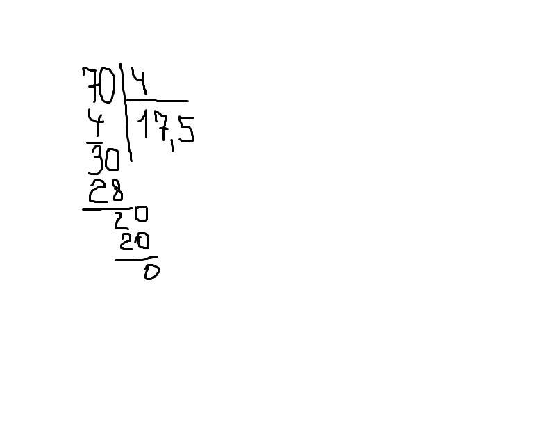
h=-7:(-0,4)

h=70:4

h=17,5

Приложения:
Вас заинтересует