Помогите пожалуйста с заданием по программированию в PascalABCNET.
ЗАДАНИЕ: Составить алгоритм и программу вычисления функции
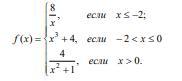
f (x) при произвольном x:
Приложения:
Ответы
Ответ дал:
1
Ответ:
pascalabc
Объяснение:
var
x, f: real;
begin
Write('Введите значение аргумента x: '); ReadLn(x);
if x <= -2 then f := 8 / x
else if x > 0 then f := 4 / (sqr(x) + 1)
else f := sqr(x) * x + 4;
WriteLn('F(', x, ') = ', f:1:2);
end.
animyauw:
Спасибо большое!!!
Вас заинтересует
2 года назад
2 года назад
3 года назад
9 лет назад
9 лет назад
10 лет назад
10 лет назад