• Предмет: Алгебра
  • Автор: TrofimovaJulia
  • Вопрос задан 8 лет назад

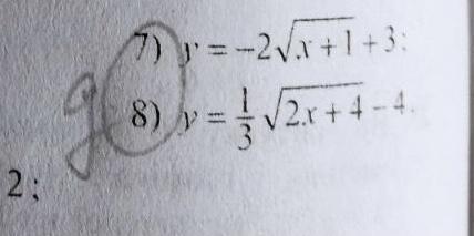
помогите пожалуйста с алгеброй!!
7 и 8

Приложения:

Ответы

Ответ дал: bftvvhtrgh
0

Ответ:

Объяснение: на фото

Приложения:
Вас заинтересует