• Предмет: Математика
  • Автор: yulipoliakelite
  • Вопрос задан 7 лет назад

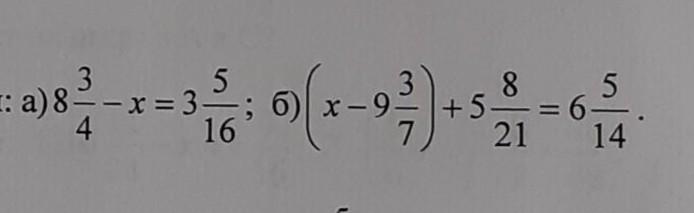
зробіть пж скоро треба​

Приложения:

Ответы

Ответ дал: 0TheBlackMan0
1

Ответ:

х= 87/16

Пошаговое объяснение:

  1. На токо перше ......
Приложения:
Ответ дал: yaroslavastar13
0
87/16 вроде но могу ошибаться
Вас заинтересует