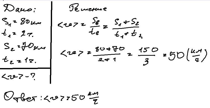
автомобиль первую часть пути 80км прошел за 2ч. вторую часть пути равную 70 км прошол за 1 ч. с какой средней скоростью двигался автомобиль на всём пути
Ответы
Ответ дал:
1
Ответ:
фото
Объяснение:
Приложения:

Вас заинтересует
2 года назад
2 года назад
3 года назад
3 года назад
8 лет назад