8. Реши задачу. Какие формулы ты будешь использовать? Из 6 м Ткани получается з одинаковых детских костюма. Сколько таких костюмов получится из 12 м такой ткани? Расход ткани на Количество изделий Общий расход Робщ. 1 изделие (р) 6 м 3 шт. одинаковый 12 м 2 ШТ.
Приложения:

Ответы
Ответ дал:
3
Ответ:
Фото
Пошаговое объяснение:
Приложения:

Ответ дал:
5
Ответ:
Пошаговое объяснение:
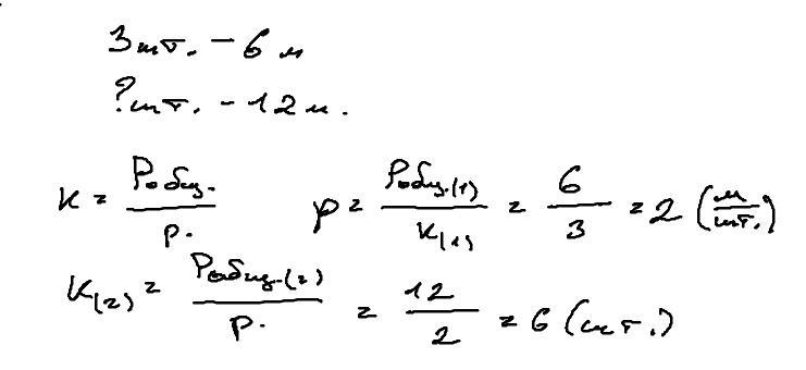
6/3=2 метра ткани идёт на один костюм.
12/2=6 костюмов получится
а*b=c; c/a=b
Вас заинтересует
2 года назад
2 года назад
3 года назад
8 лет назад
8 лет назад
9 лет назад