• Предмет: Математика
  • Автор: anvarkhonovmuhammada
  • Вопрос задан 7 лет назад

СРОЧНО 90,91,92,93 решить ​

Приложения:

Ответы

Ответ дал: dyexfnf
1

Ответ:

Пошаговое объяснение:

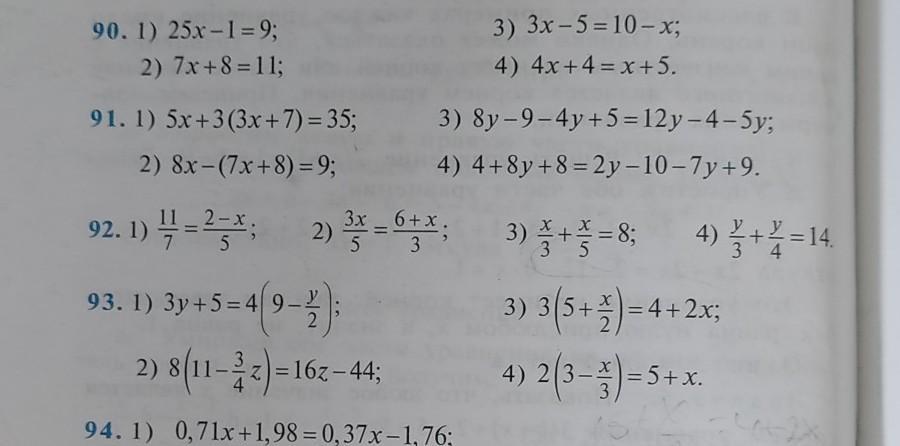
90)

1)25х - 1= 9

 25х= 10

 х= 10 : 25

  х=0,4

2)7х + 8 = 11

  7х= 11-8

  7х= 3

  х= 3/7

3) 3х-5 = 10 - х

    4х= 15

    х = 15/4

    х=3,75

4) 4х+4=х+5

    3х= 1

     х= 1/3

91) 1) 5х+3(3х+7)= 35

      5х+9х+21= 35

      14х= 14

       х= 1

    2) 8х-(7х+8)=9

       8х - 7х-8=9

       х= 17

    3) 8у-9-4у+5= 12у-4-5у

        -3у= 0

         у= 0

    4) 4 +8у+8= 2у- 10-7у+9

        13у= -13

         у= -1

92) 1) 11/7= (2-х)/5

        55=14-7х

         7х= 41

          х= 5 6/7

      2) 3х/5= (6+х)/3

          9х= 30 +5х

          4х= 30

          х= 7,5

      3) х/3+х/5= 8

          5х/15+3х/15= 8

           8х/15= 8

           х= 8 * 15/8

           х= 15

      4) у/3 + у/4 = 14

          4у/12 + 3у/12= 14

          7у/12= 14

          у= 14 * 12/7

          у= 24

93) 1) 3у+5=4(9-(у/2)  

         3у+5 = 36 - 2у

          5у= 31

          у= 31 :5

          у= 6,2

     2) 8*(11-3/4z)= 16z-44

         88 - 6z=16z- 44

          -22z= -132

           z=(-132) : (-22)

           z= 6

      3) 3*(5+х/2)= 4+ 2х

          15+ 1,5х=4+2х

           -0,5х= - 11

             х = -11:(-0,5)

             х= 22

     4)2(3- х/3)= 5+х

         6-2/3х= 5 +х

         - 5/3х= -1

            х= -1 *( -3/5)

            х= 3/5

       

     

   

   

Вас заинтересует