• Предмет: Алгебра
  • Автор: myxocranck
  • Вопрос задан 8 лет назад

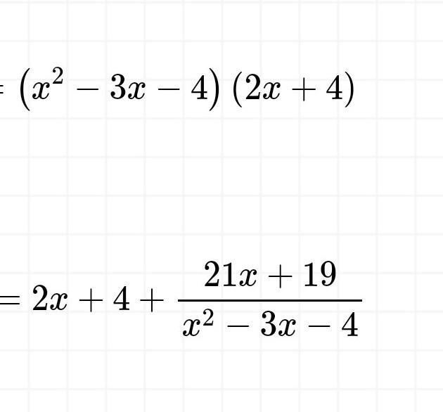
Выполните деление "уголком" многочлена: 1) 2x³-2x²+x+3 на многочлен x²-3x-4
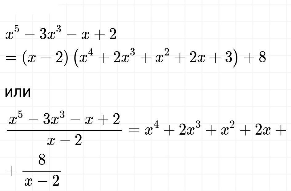
2) x⁵-3x³-x+2 на многочлен x-2 ​

Приложения:

Ответы

Ответ дал: nurajimankulova
5

это ответ на первый счет,наверное правильно

Приложения:
Вас заинтересует