• Предмет: Алгебра
  • Автор: belkaqwewqt
  • Вопрос задан 8 лет назад

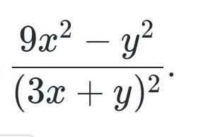
сократить дробь. помогите, пожалуйста.​

Приложения:

Ответы

Ответ дал: nnast
1

\frac{9x^{2}-y^{2}  }{(3x+y)^{2} } = \frac{(3x-y)(3x+y)}{(3x+y)2} = \frac{3x-y}{3x+y}


belkaqwewqt: Спасибо
Ответ дал: Аноним
1

Объяснение:

 \frac{9x {}^{2}  - y {}^{2} }{(3x + y) {}^{2} }  = \frac{\left(3x+y\right)\left(3x-y\right)}{\left(3x+y\right)^{2}} =\frac{3x-y}{3x+y}

Вас заинтересует