• Предмет: Математика
  • Автор: helpe44
  • Вопрос задан 8 лет назад

85 БАЛЛОВ. ПОМОГИТЕ, УМОЛЯЮ, СРОЧНО МНЕ ОЧЕНЬ НУЖНО, СВЕЧКУ ПОСТАВЛЮ КТО РЕШИТ!!! ВСЕ МАТЕМАТИКИ ПОЖААААЛУЙСТААААААААА! Решите неравенство:
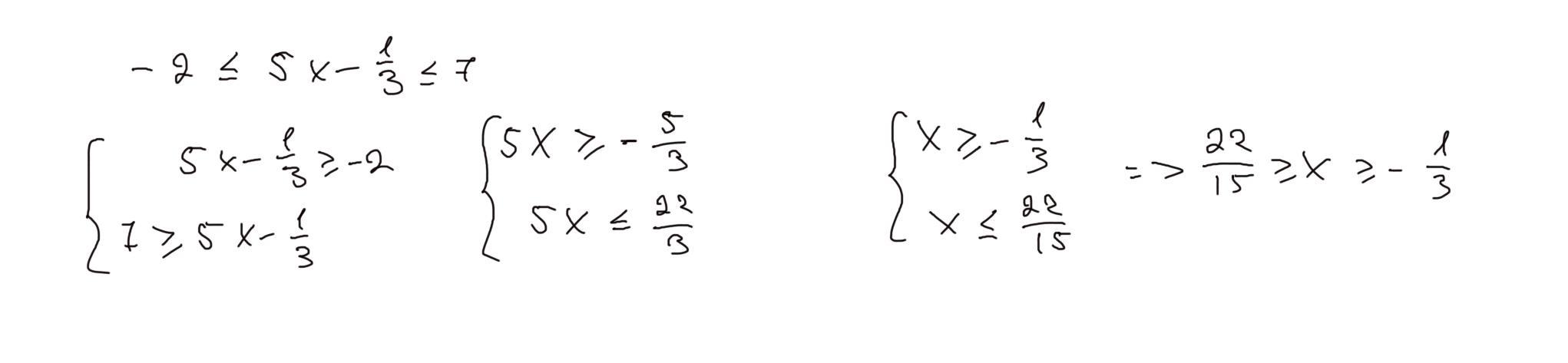
-2<=5x-1/3<=7​

Ответы

Ответ дал: lexvland
1

Ответ:

Пошаговое объяснение:

Приложения:

helpe44: Спасибо, можешь считать себя Иисусом, потому 100000 свечек тебе обеспеченно.
lexvland: Очень приятно)
helpe44: Стой, Иисус, ты кое что перепутал, там не дробь 1/3, а строчка 5x-1 потом черта и деление на 3,кароч 5x- 1/ делим на 3
helpe44: Можешь переделать по быстрому?
helpe44: Пожалуйста
lexvland: скобки ставить надо, сейчас
lexvland: Тогда 21>=5x-1>=-6
21/5>=x>=-1
lexvland: 4.2>=x>=-1
lexvland: На будущее, чтобы таких путаниц не возникало, это записывается как (5x-1)/3
helpe44: Хорошо, извиняюсь, просто торопился, спасибо огромное
Вас заинтересует