• Предмет: Геометрия
  • Автор: ikhisamutdinova7
  • Вопрос задан 8 лет назад

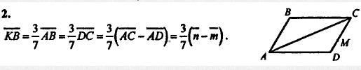
В параллелограмме ABCD К принадлежит АВ, причем АК : КВ = 4:3. Разложите вектор КВ по векторам AD = m и АС = n


egjgdhkigsgjt: Сколько вам лет?
SpartanD: сейчас попробую помочь )))

Ответы

Ответ дал: ookhochinskiy
1

Ответ:

НИЖЕ

Объяснение:

Приложения:
Вас заинтересует