• Предмет: Алгебра
  • Автор: kamilla199
  • Вопрос задан 10 лет назад

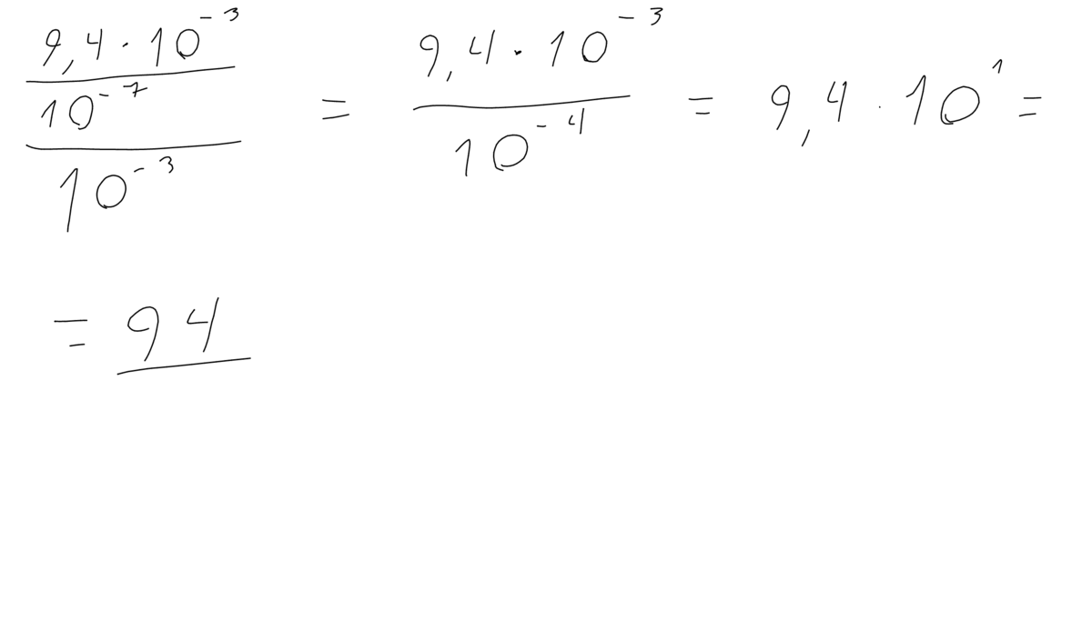
найдите значение выражения.. 9,4*10 минус 3 степени/10минус 7 степени /10  3 степени!! помогите пожалустоо)

Ответы

Ответ дал: Desmos74
0
Решение и ответ на изображении:
Приложения:
Вас заинтересует